목동시대인재초중등2관학원 상세정보

기본정보

교육 정보

연락처

주소 및 위치

지도 정보를 불러올 수 없습니다.

블로그 검색

시대인재 목동 초중등 1관 학원, 입시교육, 위치, 리뷰, 학습환경
시대인재 목동 초중등 1관은 입시교육을 전문으로 하는 학원으로, 서울 양천구 목동동로 233에 위치하고 있습니다. 한국방송회관 14층, 15층에 위치해 있어 오목교역 2번 출구에서 도보로 약 5분 거리에...
지역정보 백화점 · 2024.04.04
[시대인재초중등관학원] 목동 시대인재 초중등관 학원 수강 후기
안녕하세요 학원리뷰 앤 리포트 입니다 이번에는, 양천구에 위치한 시대인재초중등관 학원에 대해 리뷰 해보겠습니다. 수업 시간은 4시간 20분이며 월수금, 화목토로 진행 하고 있습니다. 선행과 현행 심화를...
학원리뷰앤, 학원홍보, 수강생모집, 리뷰앤리포트 · 2025.02.27
목동 학군, 학원가 지도 & 앞단지 주요 학원 위치 안내
오늘은 목동에 입성하려는 계획을 가진 이웃님들을 위해, 목동 학군이 대략적으로 어떻게 생겼는지... 생각, 시대인재, 미래탐구 등 유명하고 인지도 높은 프렌차이즈 학원들이 가장 많다는 장점이 있기도...
목동 자녀 교육의 모든 것 · 2025.12.01
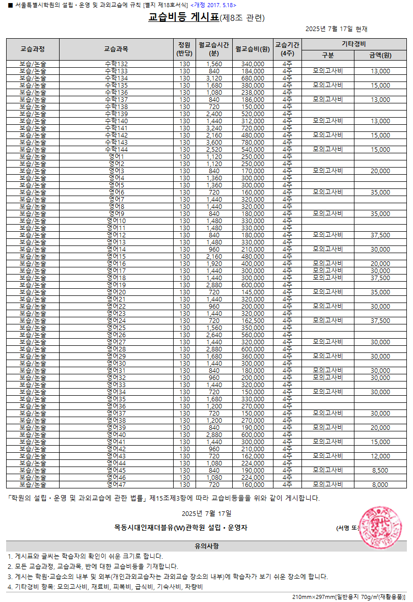
목동 시대인재 교습비등 게시표 및 등록번호
인재더블유(W)관학원: 제6050호, 목동시대인재초중등관학원: 제5767호, 목동시대인재초중등2관학원: 제5874호, 목동시대인재부엉이라이브러리독서실: 제5948호, 목동시대인재부엉이라이브러리2관독서...
목동 시대인재 공식 블로그 · 2023.12.23
[독학재수학원 잇올 스파르타 목동센터2관]-장기결제 서바이벌...
안녕하세요 잇올 스파르타 목동센터 2관입니다. 3개월 이상 결제 후 장기결제 혜택을 이용하고 계시는 분들도 있을텐데요~ 오늘은 장기결제 혜택에 시대인재 서바이벌 프로가 추가 되어 소개해...
잇올 서울 B · 2025.08.04

이미지 검색