미성리드인독서논술교습소 상세정보

기본정보

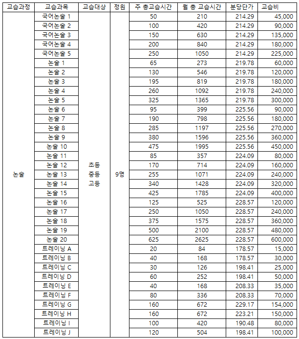
교육 정보

연락처

주소 및 위치

지도 정보를 불러올 수 없습니다.

블로그 검색

가능합니다![미성리드인][독서논술][독산동논술][미성동논술]
미성리드인독서논술교습소의 우쌤입니다. 大AI 시대 개개인의 능력이 점점 중요하고 질문을 만드는... com/misungreadin "#진짜읽기 와 #논술 의 시작, 미성리드인에서!" AI 시대를 살아갈 우리 아이들에게 정말...
미성리드인 독서논술 · 2025.05.23
, 독서가 해결해드립니다! [미성동 논술][독서논술][미성초...
안녕하세요, 미성리드인독서논술교습소 우쌤입니다! 저희 원에 오시는 여러 학부모님들이 자녀의... 꾸준한 독서와 체계적인 글쓰기 훈련이 필요합니다. 아이의 글쓰기 고민, 미성리드인독서논술과 함께...
미성리드인 독서논술 · 2025.05.12
제 28회 KBS 한국어 능력시험은 리드인에서![독해능력]...
작년에도 미성리드인독서논술교습소에서만 20명이 넘는 학생들이 3회차에 걸쳐 이 시험에 도전했을... "진짜 읽기와 논술의 시작, 미성리드인에서!" 우리 모토처럼, 꾸준히 쌓아온 독서 실력을 이번 시험을...
미성리드인 독서논술 · 2025.08.30
서울 송파구 송파동 영어 수학 과학 국어 음악 미술 등 학원...
송파리드인독서논술학원 서울시 송파구 오금로32길 44 3층 301호 일부(송파동, 현대상가) 송파동 논술 한우리독서토론논술한우리송파2동논술교습소 서울시 송파구 오금로32길 14 , 108호 일부 (송파동...
압구정_메디_에듀****** · 2025.12.31
강남 신사동 압구정동 압구정역 병원임대 학원임대 사무실...
송파리드인독서논술학원 서울시 송파구 오금로32길 44 3층 301호 일부(송파동, 현대상가) 송파동 논술 한우리독서토론논술한우리송파2동논술교습소 서울시 송파구 오금로32길 14 , 108호 일부 (송파동...
강남 신사동 압구정동 압구정역 병원임대 학원임대 사무실 임대 :: 강남 신사동 압구정동 압구정역 병원임대 학원임대 사... · 2025.12.31

이미지 검색